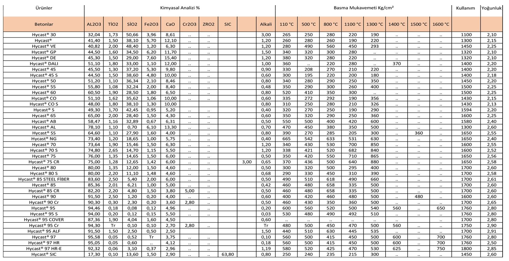
Betonlar

Betonlar kuru, granüller halinde refrakter karışımları olup, yapım yerinde su ile karıştırılarak kalıplar yardımıyla uygulanırlar. Özellikle şekilli malzemelerin yapımı için çok uygundurlar. Demir çelik endüstrisi, dökümhaneler, rafineriler ve petrokimya sanayi, enerji üretim tesisleri ve çimento endüstrisinde geniş kullanım alanları vardır. Fırın örümü, brülör çevreleri, potalar, baflelar, kapılar, kemerler, kapaklar ve bacalarda ana malzeme olarak kullanılırlar. 

Hycast®

Yüksek mukavemetli, su, asit ve gazların kimyasal etkilerine dayanıklı bir malzemedir.
Özellikle fırın çevrelerinde yanmaz beton olarak kullanılmak üzere formüle edilmiştir.

Hycast® VE

İri taneli benzerlerine nazaran daha iyi izole kabiliyeti ve aşınmalara dayanıklı bir malzemedir. Alüminyum endüstrisi, fırın tali taban katlarında, Çimento ve Kireç endüstrisi soğuk bölgeler ve toz tutucular da kullanılır.

Hycast® GP

Orta yoğunlukta genel hizmetler için kullanılan bir malzemedir.

Hycast® DE

Yüksek mukavemetli su, asit ve gazların kimyasal etkilerine dayanıklı bir malzemedir. Alüminyum endüstrisi fırın tali taban katlarında, Çimento ve Kireç fırın soğuk bölgelerinde, Isıl İşlem Fırınları fırın tabanları ve araba üstlerinde, Demir Çelik fırınları, baflelar, duman kanallarında yüksek fırınlar toz tutucuları ve soba bağlantılarında, tav çukurları ve tavlama fırınları tali tabanlarda, Yakma Tesisleri duman kanalları baca ve kül tutucularda kullanılır.

Hycast® DALI

Yüksek mukavemetli, düşük Fe2O3 içeren, Co, sülfür ve vanadyum ihtiva eden şiddetli ortamlarda kullanılabilir bir malzemedir. Erozyona ve yüzeysel aşınmalara karşı mukavimdir. Isıtıcı tabanlar, konveksiyon bölgeleri ve kül tutucular kullanıldığı yerlerin bir kaçıdır.

Hycast® 45

Genel kullanım amaçlı, dökümlere mukavim bir malzemedir. Genel olarak küçük endüstri fırınları, fırın kapıları ve bacalarda kullanılır.

Hycast® 50

Alüminyum ve metal penetrasyonlu düşük, CO ataklarına mukavim bir genel maksat malzemesidir. Alüminyum'da ergitme ve tutma ocaklarında, Çimento'da klinker soğutu-cularında, Dökümhaneler'de potalarda, Isıl İşlem Fırınları taban bölgeleri ve araba üstlerinde, Demir Çelik pelletleme fırınları atık gaz yollarında kullanılır.

Hycast® 60

Hycast® DE benzeri yerlerde kullanılabilir. Ancak Hycast® DE'ye nazaran daha yüksek 
mukavemetlere sahip bir malzemedir.

Hycast® CO

Orta yoğunlukta yüksek mukavemetli demir oranı düşük bir malzemedir. Özellikle karbon monoksitli ortamlarda tercih edilir. Isıl İşlem fırın tabanlarının ve araba üstlerinde, Yakma Tesisleri yanma odaları kül tutucuları ve kanallarda, Demir Çelik kok fırınları kapı ve atık gaz kanallarında yüksek fırın aşınma plakalarında, Enerji Üretim Tesisleri fırınlarında kullanılır.

Hycast® S

Genel amaçlı uygulamalarda kullanılabilen düşük demir ihtiva eden yüksek refrakterlik özelliğine sahip bir malzemedir. Ergimiş metal penetrasyonu minimum olup CO atıklarına mukavimdir. Isıl İşlem Fırınlarnda yanma odaları ve brülör ağızlarında, Rafineri ve Petrokimya'da kömür gazlaştırma reaktörlerinde, Demir Çelik'de ufak yolluklar, tandiş kapakları, reküperatörlerde kullanılır.

Hycast® 65

Yüksek mukavemetli 60 Alüminalı, düşük demir ihtiva eden bir malzemedir. Özellikle karbonmonoksit atıklarına ve metal yapışmalarına dayanıklıdır. Alüminyum ergitme ve tutma ocakları, Dökümhaneler potalar, her türlü fırın yanma odaları başlıca kullanım yerleridir.

Hycast® AB

Özellikle 800-1000°C'lerde yüksek mukavemet gösteren, aşınma ve erozyona dayanıklı bir malzemedir. Çimento,Kireç,Rafineri ve Petrokimya sektöründe geniş kullanım sahası vardır.

Hycast® AL

Alüminyum sanayi için özel olarak dizayn edilmiş bir malzemedir. Düşük sıcaklıklarda yüksek mukavemetlidir.

Hycast® SS

65 Alüminalı, yüksek sıcaklıklarda kullanılabilen bir malzemedir. Dökümlere ve aşınmaya mukavim, ergimiş metale dayanıklıdır.
Yanma odaları, alüminyum ocakları, Çimento döner fırınları yanma başlığı, Dökümhaneler'de potalar, Rafineriler proses fırınları, ısıtıcı ve boylerler, Demir Çelik tandiş ve tav çukur kapakları ve genel hizmetler başlıca kullanım yerleridir.

Hycast® NG

Kırılma mukavemeti çok yüksek aşırı yüklere ve termal şoklara dayanıklı bir malzemedir. Yürüyen tabanlı fırınlar,taban bölgeleri siklonlar ve dirsekler toz tutucuları ve yanma odaları tandişler başlıca kullanım yerleridir.

Hycast® 70

70 alümina üzerinde, özellikle erozyon, çarpma ve dökülmelere mukavim bir malzemedir. Isı ile ilgili her türlü endüstride geniş uygulama alanları vardır.

Hycast® 85

Yüksek sıcaklığa dayanıklı 80 Alüminanın üzerinde, yüksek mukavemet değerlerine sahip bir malzemedir. Çimento ve Kireç döner fırın ateşleme başlıkları, Demir Çelik yürüyen tabanlı fırınlar başlıca kullanım yerleridir.

Hycast® 90

90 Alümina esaslı, aşınma ve erozyona karşı dayanıklı, düşük silika içeren, metal ve cürufa dayanıklıdır.

Hycast® 90 Cr

90 Alümina içeren, özellikle elektrik ark ocaklarının tavanlarında cüruf, metal ve CO gazlarından kaynaklı aşınmalara ve erozyona karşı son derece dirençli bir betondur. Tabular alümina ve yeşil kromoksit esaslıdır.

Hycast® 95

Saf tabular alümina esaslı yüksek saflıkta demir ve sülfürü yok denecek kadar az. Sıcaklıkta deformasyonu son derece düşük silika içeren pek çok metal ve cürufa dayanıklıdır. Dökümhaneler, elektrik ark ocağı tavanları, Rafineriler katalist transfer hatları, karbon siyahı reaktörler, kömür gazlaştırma reaktörleri, Demir Çelik ark ocaklarında kullanılır.

Hycast® 95 Cr

95 Alümina içeren, özellikle elektrik ark ocaklarının tavanlarında cüruf, metal ve CO gazlarından kaynaklı aşınmalara ve erozyona karşı son derece dirençli bir betondur. Tabular alümina ve yeşil kromoksit esaslıdır.

Hycast® 97

97 Alümina esaslı, aşınma ve erozyona karşı son derece dayanıklı, düşük silika içeren, metal, cüruf ve CO etkisine mükemmel neticeler verir. Endüksiyon fırın astarları elektrik ark fırın tavanları, potalar, alüminyum ergitme fırınları, başlıca kullanım alanlarıdır.

Hycast® SIC

Yüksek oranda SiC bulunduran bir malzemedir. Düşük demir, düşük linear genleşme ve yüksek termal iletkenlik avantajlarıdır. Siklon brülörü kazanlarda kullanılması özellikle tavsiye edilir.

Kiltaş 'ın online kataloğunu incelemek ister misiniz ?

KİLTAŞ REFRAKTER MALZEME SAN. A.Ş.

Tel : 444 3 012 Tel : +90 212 332 30 20 Fax : +90 212 332 08 15
Fevzipaşa Mahallesi Yürek Sokak No:10 Değirmenköy/Silivri/İSTANBUL

KİLTAŞ Refrakter Malzeme San. A.Ş. 
Copyright 2020 Her Hakkı Saklıdır.